Координатно-измерительные машины MITUTOYO серии UMAP-PRE1346
Госреестр. Методика поверки 73980-19 MITUTOYO Машины координатные измерительные консольные MACH
Координатно-измерительные машины MITUTOYO серии Crysta-PlusM PRE1203
Координатно-измерительные машины MITUTOYO с ЧПУ больших размеров (CNC-CMM)-PRE1341
Координатно-измерительные машины MITUTOYO серии Crysta-Apex S PRE1374 
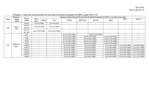
Лист № 8 Всего листов 14 Таблица 4 - Пределы допускаемой абсолютной объемной погрешности MPEE серий 196 и 355 Наимено-СерияваниеКИМТип ма-шиныTP2/TP20MH20 Пределы допускаемой абсолютной объемной погрешности MPEE (L=длина в мм), мкмTP8TP200MPP310QSP25MSP80RSP2RSP3-3 M 443 ±(3+4L/1000) ±(4+4L/1000) - - - - - - 196 Crysta-Plus M 544M 574 ±(3,5+4L/1000) ±(4,5+L/1000) - - - - - - M 776 ±(4,5+4,5L/1000) ±(5,5+4,5L/1000) - - - - - - M 7106 574 - - ±(1,4+2,5L/1000) - ±(0,7+2,5L/1000) - - - 776 - - ±(1,4+2,5L/1000) ±(0,9+2,5L/1000) ±(0,9+2,5L/1000) - - 7106 - - ±(1,4+2,5L/1000) ±(0,9+2,5L/1000) ±(0,9+2,5L/1000) - - 9106 - - ±(1,5+2,5L/1000) ±(0,9+2,5L/1000) ±(0,9+2,5L/1000) - - 355 STRATO-Apex 9166162012 -- - ±(1,5+2,5L/1000) ±(0,9+2,5L/1000) ±(0,9+2,5L/1000) - --±(3,5+4L/1000)±(2,5+4L/1000)±(2,5+4L/1000)±(3,0+5L/1000)±(2,6+5L/1000) 163012 - - ±(3,5+4L/1000) ±(2,5+4L/1000) ±(2,5+4L/1000) ±(3,0+5L/1000) ±(2,6+5L/1000) 164012 - - ±(3,5+4L/1000) ±(2,5+4L/1000) ±(2,5+4L/1000) ±(3,0+5L/1000) ±(2,6+5L/1000) 162016 - - ±(4,0+4L/1000) ±(3,0+4L/1000) ±(3,0+4L/1000) ±(3,5+5L/1000) ±(3,1+5L/1000) 163016 - - ±(4,0+4L/1000) ±(3,0+4L/1000) ±(3,0+4L/1000) ±(3,5+5L/1000) ±(3,1+5L/1000) 164016 - - ±(4,0+4L/1000) ±(3,0+4L/1000) ±(3,0+4L/1000) ±(3,5+5L/1000) ±(3,1+5L/1000)