Координатно-измерительные машины MITUTOYO серии UMAP-PRE1346
Госреестр. Методика поверки 73980-19 MITUTOYO Машины координатные измерительные консольные MACH
Координатно-измерительные машины MITUTOYO серии Crysta-PlusM PRE1203
Координатно-измерительные машины MITUTOYO с ЧПУ больших размеров (CNC-CMM)-PRE1341
Координатно-измерительные машины MITUTOYO серии Crysta-Apex S PRE1374 
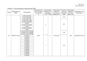
Лист № 11 Всего листов 14 Таблица 6 - Эксплуатационные характеристики КИМ Нормальная об- Допускаемое Допустимая Расход воз- Допустимое Серия НаименованиеКИМ Тип машины ласть значений изменение тем- влажность духа при давление Требования к элек-температуры,пературывоздуха приизмерении,при изме-тропитанию °C °С/ч °С/24 ч измерении, % л/мин рении, КПа S 544 / EX 554TS 574 / EX 574T 50 S 776 / EX 776T S 7106 / EX 7106T S 9106 / EX 9106T S 9108S 9166 / EX 9166T 2 60 S 9168 S 9206 / EX 9206T S 9208 S 121210 / EX 121210R S 122010 / EX 122010R 100 S 123010 / EX 123010R 191 CRYSTA-Apex S 162012 20±2 2 от 40 до 70 400 (220-240) В, 50 Гц S 162016 S 163012 S 163016 S 164012 S 164016 S 165012 1 150 S 165016 S 203016 S 203020 S 204016 S 204020 S 205016 S 205020